Stability Check

In the following, we investigate the stability of MobEyes, by verifying that continuous summary injections do not influence its performance to a large extent. In particular, we show that the ratio of summaries harvested on longer periods remains acceptable and that the harvesting latency does not grow as time passes. With regard to the results presented so far, here we remove the assumption about the single summary generation epoch at t=0. Nodes generate new summaries with period T=120s and advertise the last generated summary: let us observe this rate represents a practical worst case. For the sake of clarity of presented results, we hold the synchronicity assumption: all nodes simultaneously generate new summaries at intervals multiple of T. We obtained similar performance with differently distributed generation intervals, i.e., Poisson with average value T but plots are far more jumbled. The following results are reported for the case of a single harvesting agent, k=1, N=100, v=15m/s, and nodes moving according to the RT model. The next Figure plots the cumulative distribution of the number of summaries generated and harvested as a function of time (we ran simulations for 6000s). The graph shows that the harvesting curve tracks the generation curve with a certain delay, which can be traced to the harvesting latency in a=1,k=1. This also motivates the difference of the endpoints of the two plots.


Next Figure provides further evidence of the stability of the system; curves show the harvesting latency for summaries generated during some generation epochs. For the sake of figure clarity, the graph does not exhaustively represent every generation epoch, but only samples one generation epoch every T*7=840s till the end of the simulation time. The different curves show similar trends, without any performance degradation caused by the increase of the number of summaries in the network. The harvesting related to the last summary generation epoch is evidently incomplete (25% of the summaries are harvested within the timeline), since the epoch starts 120s before the end of the simulation. These results prove that MobEyes achieves completeness in harvesting generated summaries even in practical worst cases.


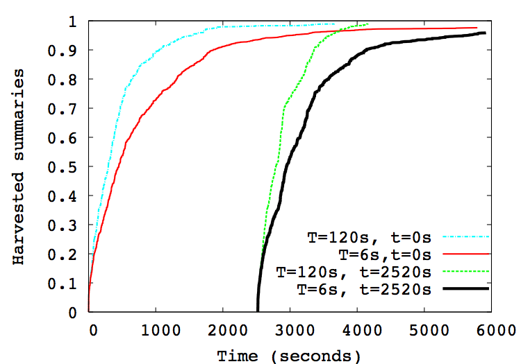
We also investigated if higher summary generation rates afflict MobEyes performance. We shortened T from 120s to 6s (with T=6s, the chunk generation rate is 100ms). Such a generation rate is largely greater than the one required for the set of applications addressed by MobEyes. Simulation results prove that MobEyes performance starts degrading only when T < 30s. The next Figure shows the harvesting process for two epochs (0s and 2520s) and compares T=120s with T=6s. The second case shows that MobEyes performance degrades gracefully as the generation epoch shortens, thus demonstrating the high stability of the system when operating in usual summary rate conditions.