Single Agent/1-hop Diffusion |
We investigate the regular node collection and agent harvesting processes.
Without loss of generality, let us assume that new summaries are synchronously generated
by all regular nodes, and call generation epoch, the moment when new summaries
are generated. In this set of experiments, every regular node
advertises the single summary it generated in the epoch t=0, during all simulation time.
We remark that this assumption
does not undermine the relevance of our results, since the process is stationary.
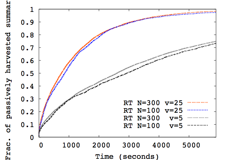
Next Figures show results collected for number of nodes N=100-300, average speed
v=5-25, and RWP, MAN, and RT mobility models.
Figures plot the cumulative distribution
of summaries collected by regular nodes as a function
of time.
The figures show that this process highly
depends on the average node speed v; in fact, v determines to
a large extent how quickly nodes "infect" other participants with their own summaries.


