Essendo T0(N) l’overhead e T1(N) il lavoro utile, l’isoefficienza viene definita come:

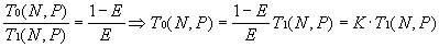
L’obiettivo è mantenere l’efficienza costante. Dalla definizione ne consegue che:
![]()
La costante K caratterizza il sistema. Se teniamo costante N e variamo P (funzione isoefficienza), K determina se un sistema parallelo possa mantenere un’efficienza costante, ovvero uno speed-up ideale.