La complessità del caso sequenziale vale O(N) mentre quella del parallelo vale:

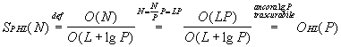
Lo speed-up vale quindi:

| L’efficienza vale quindi: |
|
Quindi, intuitivamente, se carichiamo molto ogni nodo (cioè se L è molto elevato) si possono raggiungere uno speed-up ed una efficienza ideale
Osservazioni: