7) Cosa sono le funzioni di encrittazione e decrittazione?

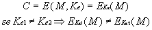
Siano dati

La funzione di encrittazione è:

La funzione di decrittazione è:

Le funzioni di encrittazione e decrittazione sono l’una l’inversa dell’altra

Sistemi teoricamente sicuri non esistono.

Sistemi computazionalmente sicuri: non economico tentare di aggirare l’encrittazione, cioè rendere praticamente irrealizzabile l’attacco.

 


Back
Index
Next